ggplot2 ile betimsel (descriptive) analiz grafikleri
Bu yazıda ggplot2 paketine örnekler vermeye devam ederek, betimleyici (descriptive) analizlerde kullanılan grafikleri ggplot2 paketiyle üretelim. Öncelikle histogram grafiğiyle başlayalım:
library(ggplot2)
ggplot(data = mpg) +
geom_histogram(mapping = aes(x = hwy), colour = "black", fill = "white")
## `stat_bin()` using `bins = 30`. Pick better value with `binwidth`.

Çizmiş olduğumuz histogramın sadece belli bir bölgesine odaklanabiliriz:
ggplot(data = mpg) +
geom_histogram(mapping = aes(x = hwy), colour = "black", fill = "white") +
coord_cartesian(xlim = c(15, 30))
## `stat_bin()` using `bins = 30`. Pick better value with `binwidth`.

binwidth parametresiyle veri aralıklarını daraltarak daha az detay sunan ancak daha derli toplu bir histogram üretebiliriz:
ggplot(data = mpg) +
geom_histogram(mapping = aes(x = hwy), colour = "black", fill = "white", binwidth = 2.5)

Çizdiğimiz iki grafikte y ekseninde değişkenin frekans değerleri (herbir aralıkta kaç gözlem olduğu) bulunuyordu. Bunun yerine y ekseninde yoğunluğu (density) gösterip dağılımı daha iyi değerlendirmemizi sağlayacak bir eğri ekleyelim ve eksenlerin etiketlerini yazalım:
ggplot(data = mpg) +
geom_histogram(mapping = aes(x = hwy, y = ..density..),
colour = "black", fill = "white", binwidth = 2.5) +
stat_function(fun = dnorm,
args = list(mean = mean(mpg$hwy, na.rm = TRUE),
sd = sd(mpg$hwy, na.rm = TRUE)),
colour = "red", size = 1) +
labs(x = "Şehirler arası yakıt\nperformansı", y = "Density")

Aynı grafiği geom_freqpoly kullanarak sadece eğri ile çizebiliriz:
ggplot(data = mpg) +
geom_freqpoly(mapping = aes(x = hwy, y = ..density..),
colour = "red", binwidth = 2.5) +
labs(x = "Şehirler arası yakıt\nperformansı", y = "Density")

Birden fazla histogramı aynı grafik üzerinde görmek istiyorsak geom_freqpoly ile bunu yapabiliriz:
ggplot(data = mpg) +
geom_freqpoly(mapping = aes(x = hwy, color = as.character(cyl)), binwidth = 1) +
labs(x = "Şehirler arası yakıt\nperformansı", y = "Count", color = "Silindir\nSayısı")

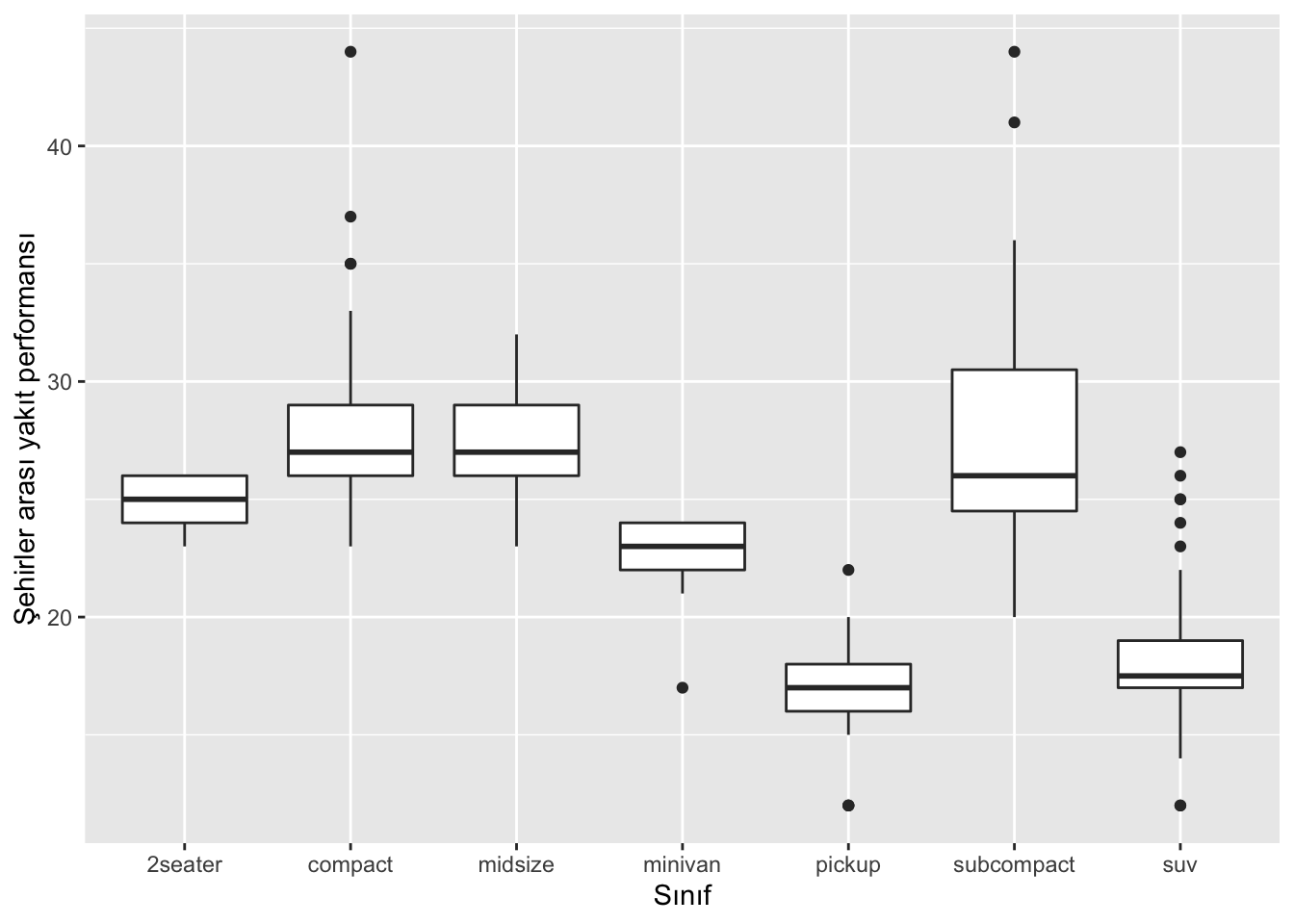
geom_boxplot ile kuut grafikleri çizebiliriz. Otomobillerin sınıflarına göre kutu grafiği üretelim:
ggplot(data = mpg) +
geom_boxplot(mapping = aes(x = class, y = hwy)) +
labs(x = "Sınıf", y = "Şehirler arası yakıt performansı")

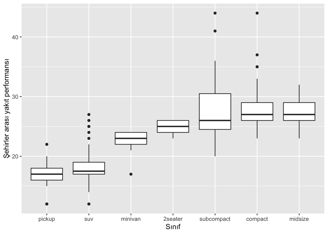
Kutuları medyen değerlerine göre sıralayalım:
ggplot(data = mpg) +
geom_boxplot(mapping = aes(x = reorder(class, hwy, FUN = median), y = hwy)) +
labs(x = "Sınıf", y = "Şehirler arası yakıt performansı")

İstersek coord_flip() ile grafiği yatay biçime getirebiliriz:
ggplot(data = mpg) +
geom_boxplot(mapping = aes(x = reorder(class, hwy, FUN = median), y = hwy)) +
labs(x = "Sınıf", y = "Şehirler arası yakıt performansı") +
coord_flip()

geom_bar ile çubuk grafikleri çizebiliriz:
ggplot(mpg, aes(class, fill = drv)) +
geom_bar(width = .75) +
labs(x = "Sınıf", y = "Miktar", fill = "Çekiş")

Bu örnekte estetik özellikleri ggplot komutunun hemen ardından verdik. Bu şekilde tanımlanmış estetik özellikleri geomlarda da (yeniden tanımlanmaması durumunda) geçerli olacaktır. Yukarıdaki grafikte araçları sınıflarına göre grafiklerken çekiş özelliklerini de yığınlanmış renkler şeklinde grafiğe ekledik.
Görüldüğü gibi ggplot2 paketiyle pek çok grafik işlemini kolayca yapmak mümkün.